BusphotoBUSPHOTO

Statistika obrázku

0 kB


Identifikátor obrázku:367839
Velikost souboru:0 kB
Autor:marqoos_pl
Zveřejněno:30.01.2021 22:54 EET
Nachází se na stránkách (dní):1832
Jednotlivých zhlédnutí:328
Komentářů:0

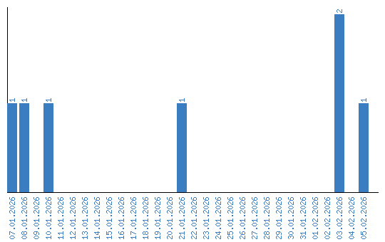
Zhlédnutí po jednotlivých dnech