BusphotoBUSPHOTO

Picture Statistics

0 KB


Picture ID:366539
File Size:0 KB
Author:Olli S.
Publication Date:23.01.2021 12:11 EET
Days in Database:1843
Unique views:497
Comments:0

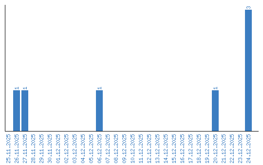
Viewing statistics by date