BusphotoBUSPHOTO

Picture Statistics

0 KB


Picture ID:366151
File Size:0 KB
Author:l-nv.info
Publication Date:20.01.2021 18:10 EET
Days in Database:1843
Unique views:296
Comments:0

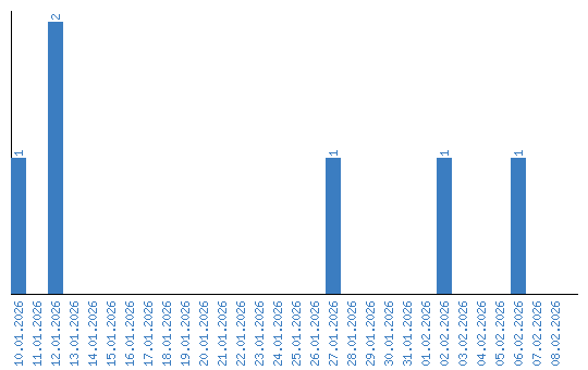
Viewing statistics by date