BusphotoBUSPHOTO

Picture Statistics

0 KB


Picture ID:364180
File Size:0 KB
Author:Nigols
Publication Date:09.01.2021 03:20 EET
Days in Database:1856
Unique views:488
Comments:0

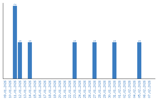
Viewing statistics by date