BusphotoBUSPHOTO

Picture Statistics

0 KB


Picture ID:363630
File Size:0 KB
Author:Der Zugchef
Publication Date:06.01.2021 02:09 EET
Days in Database:1859
Unique views:303
Comments:0

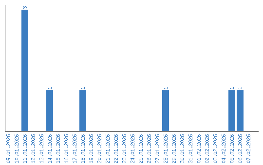
Viewing statistics by date