BusphotoBUSPHOTO

Picture Statistics

0 KB


Picture ID:363419
File Size:0 KB
Author:Neons
Publication Date:05.01.2021 09:17 EET
Days in Database:1857
Unique views:363
Comments:0

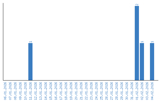
Viewing statistics by date