BusphotoBUSPHOTO

Picture Statistics

0 KB


Picture ID:361343
File Size:0 KB
Author:OnniL
Publication Date:23.12.2020 13:10 EET
Days in Database:1864
Unique views:249
Comments:0

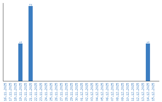
Viewing statistics by date