BusphotoBUSPHOTO

Picture Statistics

0 KB


Picture ID:360321
File Size:0 KB
Author:Lewar
Publication Date:15.12.2020 11:52 EET
Days in Database:1870
Unique views:215
Comments:0

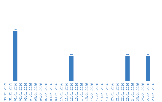
Viewing statistics by date