BusphotoBUSPHOTO

Picture Statistics

0 KB


Picture ID:355921
File Size:0 KB
Author:ToBen
Publication Date:15.11.2020 19:51 EET
Days in Database:1910
Unique views:390
Comments:0

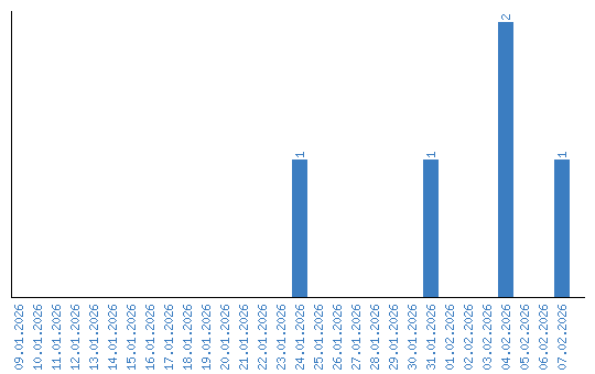
Viewing statistics by date