BusphotoBUSPHOTO

Picture Statistics

0 KB


Picture ID:355176
File Size:0 KB
Author:ToBen
Publication Date:11.11.2020 17:33 EET
Days in Database:1906
Unique views:288
Comments:0

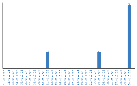
Viewing statistics by date