BusphotoBUSPHOTO

Picture Statistics

0 KB


Picture ID:354832
File Size:0 KB
Author:Valius Kedainietis
Publication Date:09.11.2020 11:47 EET
Days in Database:1872
Unique views:230
Comments:0

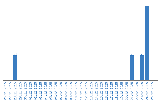
Viewing statistics by date