BusphotoBUSPHOTO

Picture Statistics

0 KB


Picture ID:353956
File Size:0 KB
Author:Arnoldas Straukus
Publication Date:03.11.2020 21:34 EET
Days in Database:1898
Unique views:317
Comments:0

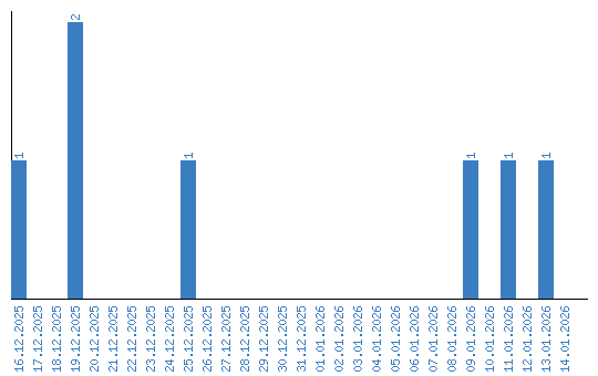
Viewing statistics by date