BusphotoBUSPHOTO

Picture Statistics

0 KB


Picture ID:352023
File Size:0 KB
Author:Igore4eg
Publication Date:21.10.2020 21:59 EET
Days in Database:1890
Unique views:387
Comments:0

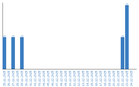
Viewing statistics by date