BusphotoBUSPHOTO

Picture Statistics

351 KB


Picture ID:35061
File Size:351 KB
Author:Серёга
Publication Date:23.04.2012 20:53 EET
Days in Database:5035
Unique views:283
Comments:0

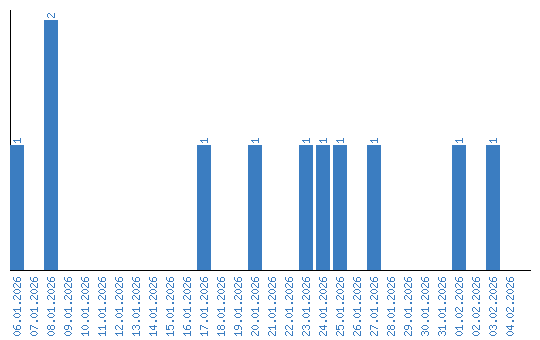
Viewing statistics by date