BusphotoBUSPHOTO

Picture Statistics

0 KB


Picture ID:348549
File Size:0 KB
Author:Zigzag Makryg
Publication Date:29.09.2020 20:40 EET
Days in Database:1950
Unique views:160
Comments:0

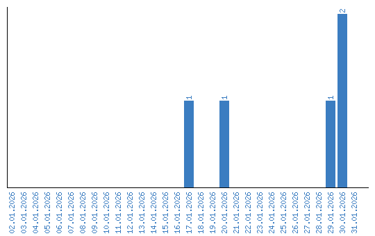
Viewing statistics by date