BusphotoBUSPHOTO

Picture Statistics

0 KB


Picture ID:348165
File Size:0 KB
Author:olegp
Publication Date:26.09.2020 22:54 EET
Days in Database:1954
Unique views:243
Comments:0

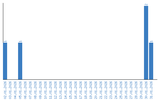
Viewing statistics by date