BusphotoBUSPHOTO

Picture Statistics

0 KB


Picture ID:346499
File Size:0 KB
Author:Bussmicke
Publication Date:12.09.2020 18:07 EET
Days in Database:1972
Unique views:238
Comments:0

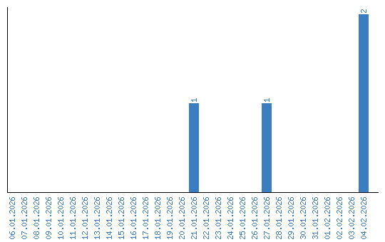
Viewing statistics by date