BusphotoBUSPHOTO

Picture Statistics

0 KB


Picture ID:344741
File Size:0 KB
Author:S. Franke
Publication Date:30.08.2020 14:53 EET
Days in Database:1985
Unique views:365
Comments:0

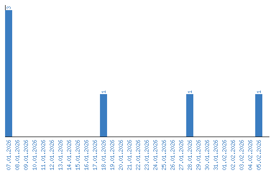
Viewing statistics by date