BusphotoBUSPHOTO

Picture Statistics

0 KB


Picture ID:344540
File Size:0 KB
Author:olegp
Publication Date:29.08.2020 20:31 EET
Days in Database:1938
Unique views:267
Comments:0

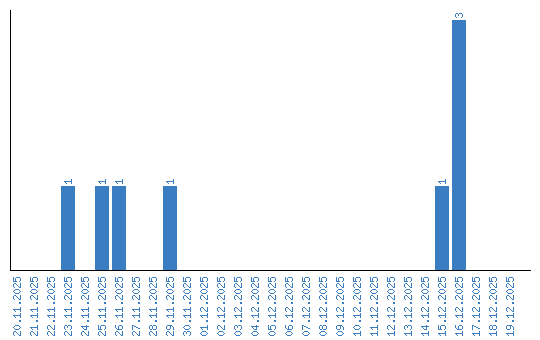
Viewing statistics by date