BusphotoBUSPHOTO

Picture Statistics

0 KB


Picture ID:344486
File Size:0 KB
Author:olegp
Publication Date:29.08.2020 08:55 EET
Days in Database:1979
Unique views:145
Comments:0

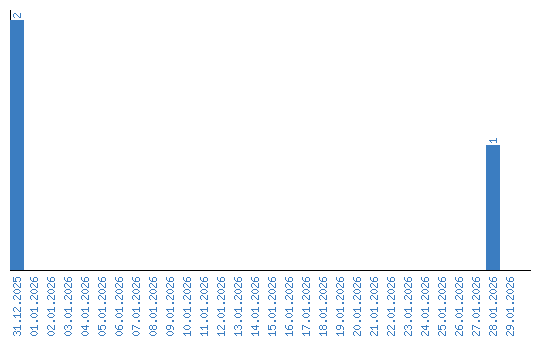
Viewing statistics by date