BusphotoBUSPHOTO

Picture Statistics

0 KB


Picture ID:343066
File Size:0 KB
Author:Der Zugchef
Publication Date:20.08.2020 13:28 EET
Days in Database:1989
Unique views:452
Comments:0

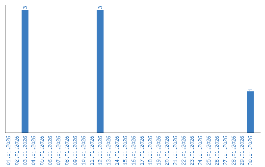
Viewing statistics by date