BusphotoBUSPHOTO

Picture Statistics

365 KB


Picture ID:34115
File Size:365 KB
Author:timoffey.dp
Publication Date:15.04.2012 20:08 EET
Days in Database:5043
Unique views:286
Comments:0

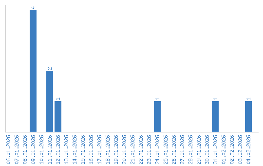
Viewing statistics by date