BusphotoBUSPHOTO

Picture Statistics

0 KB


Picture ID:340378
File Size:0 KB
Author:Bussmicke
Publication Date:01.08.2020 16:42 EET
Days in Database:2017
Unique views:181
Comments:0

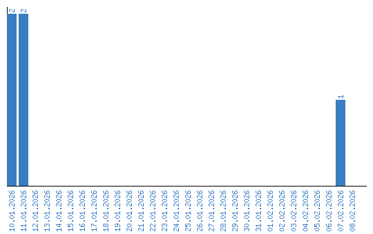
Viewing statistics by date