BusphotoBUSPHOTO

Nuotraukos informacija

0 Kb


Nuotraukos identifikatorius:339097
Bylos dydis:0 Kb
Autorius:Stephan Günther
Publikuota:24.07.2020 08:21 EET
Yra tinklapyje dienų:1974
Unikalių peržiūrų:282
Komentarų:0

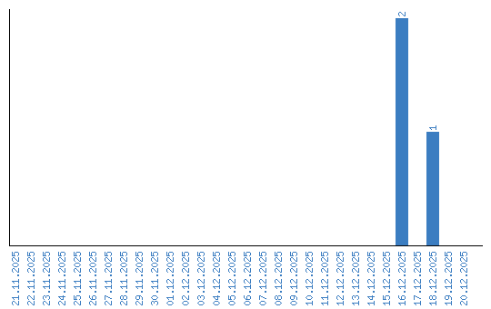
Peržiūrų dinamika pagal dienas