BusphotoBUSPHOTO

Picture Statistics

0 KB


Picture ID:338840
File Size:0 KB
Author:Lewar
Publication Date:22.07.2020 12:17 EET
Days in Database:2016
Unique views:298
Comments:0

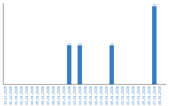
Viewing statistics by date