BusphotoBUSPHOTO

Picture Statistics

0 KB


Picture ID:338836
File Size:0 KB
Author:Lewar
Publication Date:22.07.2020 12:14 EET
Days in Database:1998
Unique views:233
Comments:0

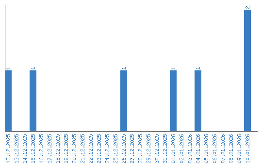
Viewing statistics by date