BusphotoBUSPHOTO

Picture Statistics

306 KB


Picture ID:33817
File Size:306 KB
Author:Artemio
Publication Date:13.04.2012 19:06 EET
Days in Database:5046
Unique views:385
Comments:0

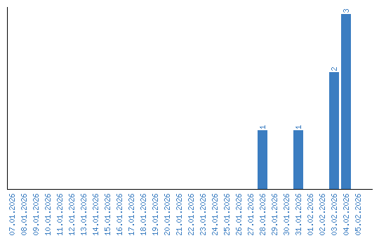
Viewing statistics by date