BusphotoBUSPHOTO

Picture Statistics

0 KB


Picture ID:337293
File Size:0 KB
Author:olegp
Publication Date:11.07.2020 22:55 EET
Days in Database:1987
Unique views:318
Comments:0

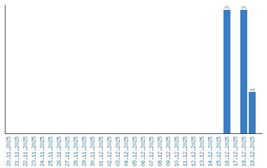
Viewing statistics by date