BusphotoBUSPHOTO

Picture Statistics

0 KB


Picture ID:337021
File Size:0 KB
Author:Lewar
Publication Date:10.07.2020 12:23 EET
Days in Database:2040
Unique views:319
Comments:0

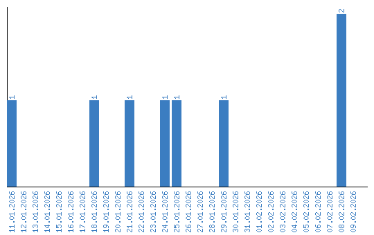
Viewing statistics by date