BusphotoBUSPHOTO

Statistiques d'images

0 KO


ID de l'image:336699
Taille du fichier:0 KO
Auteur:Николай Кармаевский
Date de publication:07.07.2020 19:25 EET
Jours dans la base de données:1997
Vues uniques:272
Commentaires:0

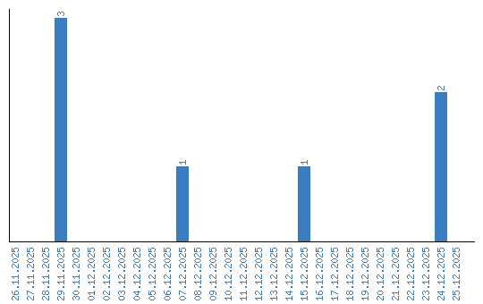
Affichage des statistiques par date