BusphotoBUSPHOTO

Picture Statistics

0 KB


Picture ID:336101
File Size:0 KB
Author:olegp
Publication Date:03.07.2020 17:34 EET
Days in Database:2001
Unique views:198
Comments:0

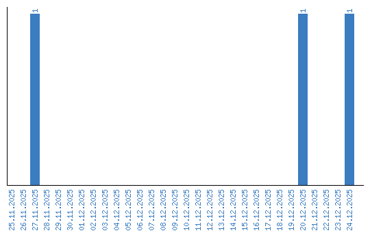
Viewing statistics by date