BusphotoBUSPHOTO

Picture Statistics

0 KB


Picture ID:335105
File Size:0 KB
Author:Kimmi
Publication Date:27.06.2020 19:16 EET
Days in Database:2042
Unique views:196
Comments:0

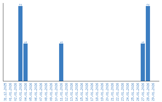
Viewing statistics by date