BusphotoBUSPHOTO

Picture Statistics

0 KB


Picture ID:331099
File Size:0 KB
Author:S. Franke
Publication Date:04.06.2020 22:43 EET
Days in Database:2030
Unique views:400
Comments:0

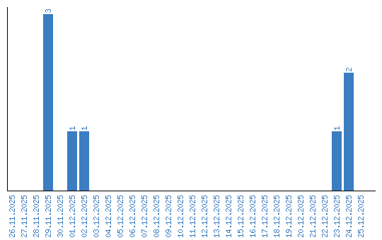
Viewing statistics by date