BusphotoBUSPHOTO

Picture Statistics

0 KB


Picture ID:329094
File Size:0 KB
Author:Kimmi
Publication Date:24.05.2020 10:56 EET
Days in Database:2082
Unique views:107
Comments:0

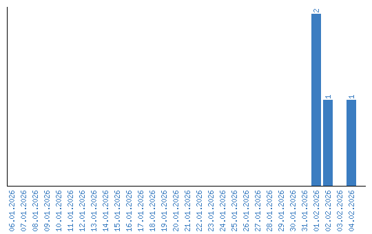
Viewing statistics by date