BusphotoBUSPHOTO

Picture Statistics

0 KB


Picture ID:328947
File Size:0 KB
Author:Kimmi
Publication Date:23.05.2020 17:38 EET
Days in Database:2083
Unique views:224
Comments:0

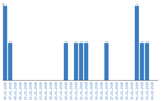
Viewing statistics by date