BusphotoBUSPHOTO

Picture Statistics

0 KB


Picture ID:326162
File Size:0 KB
Author:Николай Кармаевский
Publication Date:05.05.2020 21:50 EET
Days in Database:2097
Unique views:330
Comments:0

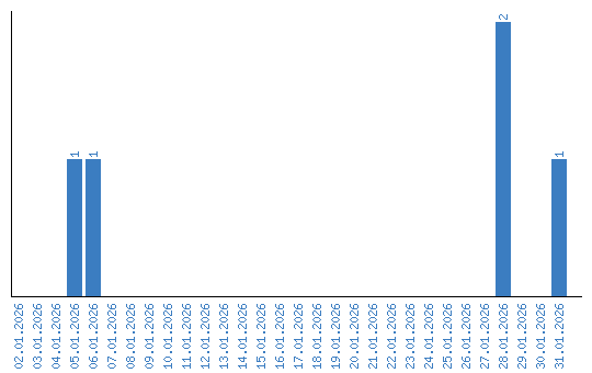
Viewing statistics by date