BusphotoBUSPHOTO

Picture Statistics

0 KB


Picture ID:326147
File Size:0 KB
Author:Bussmicke
Publication Date:05.05.2020 21:49 EET
Days in Database:2060
Unique views:260
Comments:0

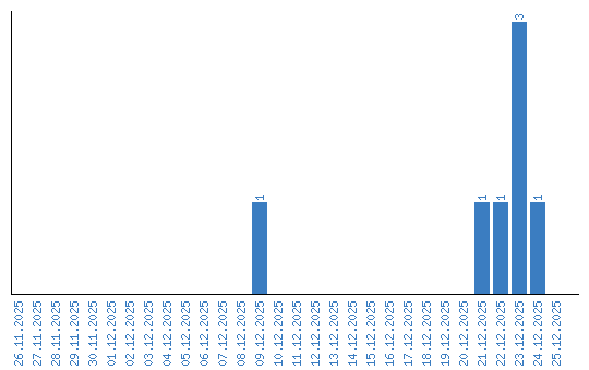
Viewing statistics by date