BusphotoBUSPHOTO

Picture Statistics

0 KB


Picture ID:325478
File Size:0 KB
Author:Tučňák
Publication Date:02.05.2020 01:02 EET
Days in Database:2098
Unique views:341
Comments:0

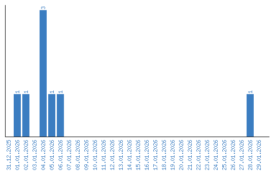
Viewing statistics by date