BusphotoBUSPHOTO

Picture Statistics

0 KB


Picture ID:322824
File Size:0 KB
Author:olegp
Publication Date:17.04.2020 20:51 EET
Days in Database:2120
Unique views:180
Comments:0

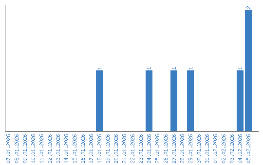
Viewing statistics by date