BusphotoBUSPHOTO

Picture Statistics

0 KB


Picture ID:322062
File Size:0 KB
Author:Odd
Publication Date:13.04.2020 23:29 EET
Days in Database:2121
Unique views:342
Comments:0

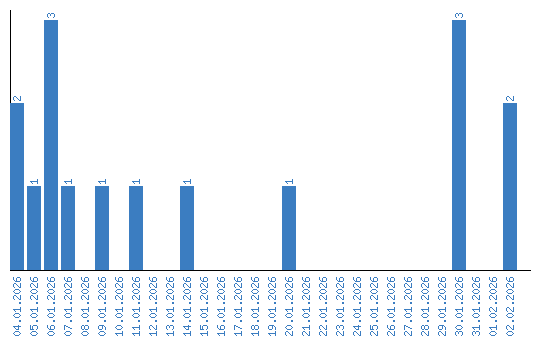
Viewing statistics by date