BusphotoBUSPHOTO

Picture Statistics

0 KB


Picture ID:320625
File Size:0 KB
Author:marqoos_pl
Publication Date:04.04.2020 18:19 EET
Days in Database:2134
Unique views:335
Comments:0

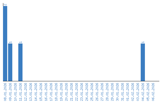
Viewing statistics by date