BusphotoBUSPHOTO

Picture Statistics

199 KB


Picture ID:3185
File Size:199 KB
Author:Maks
Publication Date:13.03.2011 17:13 EET
Days in Database:5436
Unique views:253
Comments:0

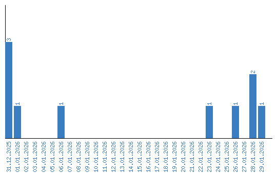
Viewing statistics by date