BusphotoBUSPHOTO

Picture Statistics

194 KB


Picture ID:315446
File Size:194 KB
Author:olegp
Publication Date:27.02.2020 20:17 EET
Days in Database:2170
Unique views:433
Comments:0

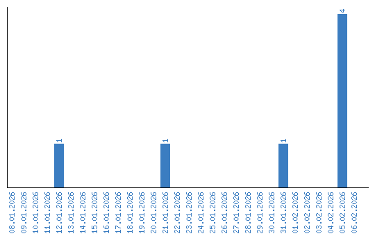
Viewing statistics by date