BusphotoBUSPHOTO

Picture Statistics

486 KB


Picture ID:314421
File Size:486 KB
Author:Rytis001
Publication Date:20.02.2020 17:04 EET
Days in Database:2173
Unique views:302
Comments:0

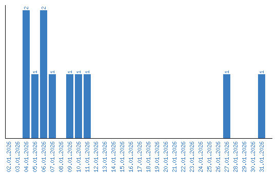
Viewing statistics by date