BusphotoBUSPHOTO

Picture Statistics

516 KB


Picture ID:312462
File Size:516 KB
Autorul:VanHool_Fan
Publication Date:09.02.2020 16:10 EET
Days in Database:2140
Unique views:258
Comments:0

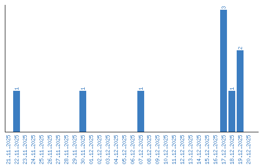
Viewing statistics by date