BusphotoBUSPHOTO

Picture Statistics

306 KB


Picture ID:30948
File Size:306 KB
Author:Макс Чиняков
Publication Date:21.03.2012 19:49 EET
Days in Database:5063
Unique views:392
Comments:3

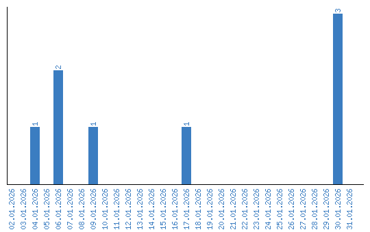
Viewing statistics by date