BusphotoBUSPHOTO

Picture Statistics

494 KB


Picture ID:305212
File Size:494 KB
Author:IKS
Publication Date:17.11.2019 20:03 EET
Days in Database:2267
Unique views:428
Comments:0

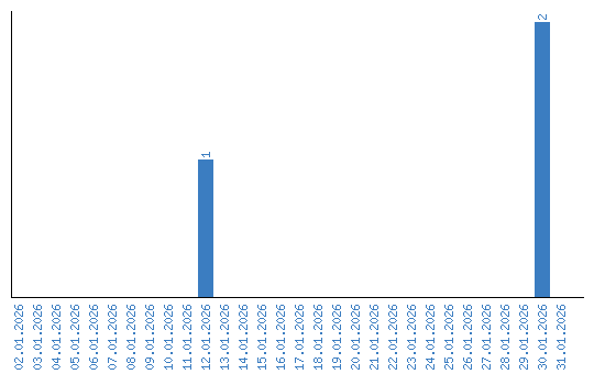
Viewing statistics by date