BusphotoBUSPHOTO

Picture Statistics

459 KB


Picture ID:304435
File Size:459 KB
Fotografato da:Bussmicke
Publication Date:13.11.2019 08:25 EET
Days in Database:2228
Unique views:282
Comments:0

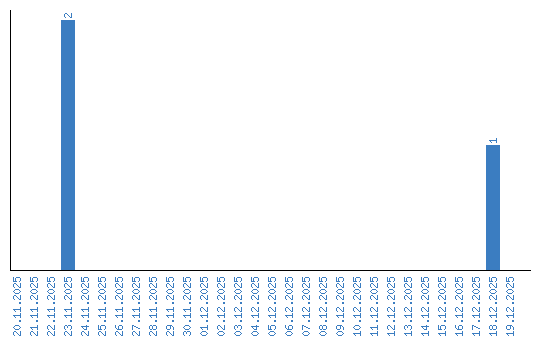
Viewing statistics by date