BusphotoBUSPHOTO

Picture Statistics

482 KB


Picture ID:298972
File Size:482 KB
Autorul:Bussmicke
Publication Date:05.10.2019 10:07 EET
Days in Database:2291
Unique views:191
Comments:0

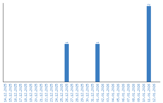
Viewing statistics by date