BusphotoBUSPHOTO

Picture Statistics

502 KB


Picture ID:294196
File Size:502 KB
Author:Tučňák
Publication Date:27.08.2019 21:52 EET
Days in Database:2353
Unique views:340
Comments:0

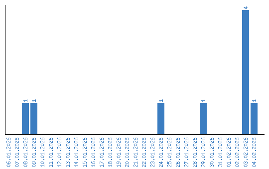
Viewing statistics by date